万象城allwincity官网第一医院王健团队验证了阻塞性睡眠呼吸暂停综合征患者左室几何构型与炎症、氧化应激反应的相关性
阻塞性睡眠呼吸暂停综合征(obstructive sleep apnea hypopnea syndrome,OSAS)是一种常见的睡眠呼吸紊乱疾病,可引起多系统损害。然而目前大众对其危害认识不足,对相关并发症的早期诊治也缺乏必要的重视,使患者全因死亡率和心血管疾病死亡率增加。
心脏和血管结构的亚临床障碍反映了各种危险因素对心血管系统的不良影响,故OSAS患者早期心脏结构、功能的检查有着重要的意义。左室几何构型是左室形态结构随各种刺激发生的早期改变,是心血管疾病发生的有效预测指标。通过观察OSAS患者不同左室几何构型分布及其对左室功能的影响,可及时发现亚临床心脏损伤,对筛查高危患者有着重要的作用。
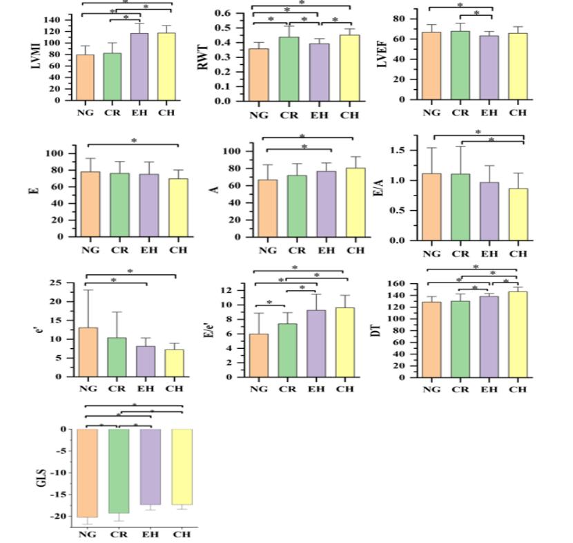
该研究的第一部分观察患者左室几何构型的变化及分布,分析OSAS在亚临床心脏损伤中的作用及不同左室几何构型对左室功能的影响。结果表明。OSAS患者在左室射血分数正常的情况下,已有早期亚临床心脏损伤并与疾病程度呈正相关。
此外,在OSAS患者中,不同左室几何构型对左室功能的影响不同,可能会导致不同功能障碍及临床结局。早期检测患者左室几何构型变化,有助于临床及时干预和精细化慢病管理。

图1 OSAS患者左室功能参数多重线性回归分析

图2 AHI与OSAS患者左室几何构型及功能参数的相关性


图3 OSAS患者左室功能参数多重线性回归分析
慢性间歇低氧是OSAS核心病理生理机制,能诱发患者体内的炎症、氧化应激反应造成组织损伤,可能参与OSAS心血管并发症的临床演变。该课题第二部分通过探讨OSAS患者炎症、氧化应激反应与左室几何构型及功能的相关性,以期为异常左室几何构型的发生机制提供理论依据。研究结果表明,炎症、氧化应激反应水平与OSAS患者左室结构及功能损伤呈正相关,可能参与其早期心血管损伤。并且,炎症、氧化应激反应可导致OSAS患者左室几何构型异常的发生,对心血管并发症的结局有重要影响,可能为其潜在干预靶点。

图4 OSAS患者左室几何构型炎症、氧化应激标志物比较

图5 不同程度OSAS患者左室几何构型中炎症、氧化应激参数的分布

图6 炎症、氧化应激标志物与左室结构及功能参数相关性

图7 左室几何构型多因素Logistic回归分析
持续气道正压通气治疗(continuous positive airway pressure,CPAP)仍是中、重度OSAS患者最有效和首选的治疗方式。该研究第三部分探讨了CPAP治疗后左室几何构型及炎症、氧化应激参数变化,分析CPAP治疗前后OSAS患者左室几何构型变化与炎症、氧化应激水平改变相关性。研究发现,通过CPAP治疗,消除呼吸暂停事件,可以减弱OSAS患者相关的病理级联反应,改善患者靶器官的损伤。CPAP疗效随着治疗时间的延长而提高,因此应尽量提高患者的治疗时间,使其得到更大的获益。CPAP治疗可能通过降低炎症、氧化应激水平逆转OSAS患者异常左室几何构型,故CPAP与抗炎、抗氧化,多种治疗模式结合,可能发挥协同作用,改善患者预后。

图8 OSAS患者治疗前后超声心动图参数变化

图9 治疗6个月后左室几何构型变化情况

图10 OSAS患者治疗前后炎症、氧化应激反应水平变化

图11 ΔLVMI与ΔRWT多重线性回归分析
这项研究立足于左室几何构型,监测OSAS患者亚临床心脏损伤,可早期筛查高危患者,有助于临床及时干预,并从炎症、氧化应激角度分析OSAS异常左室几何构型的相关机制,为患者心血管并发症的早期诊治提供新思路,有助于延缓心血管并发症的进展。
该课题由万象城allwincity官网第一医院王健教授指导,水雯博士研究生完成,以上工作得到了山西省自然科学基金的大力支持。