韩清华课题组报道miR-195-5p在心肌肥厚中的作用及其机制的研究成果
万象城allwincity官网第一临床医学院韩清华教授课题组于2019年6月在学术期刊BioMed Research International发表了题为“MiR-195-5p Promotes Cardiomyocyte Hypertrophy by Targeting MFN2 and FBXW7”(DOI: 10.1155/2019/1580982)的研究论文。
心力衰竭是心血管疾病的最后战场,5年死亡率超过50%,心脏肥厚是心衰事件链的早期阶段。其主要细胞基础包括心肌细胞面积增加,肌动蛋白细胞骨架重组和胎儿基因的重新表达。心脏肥厚是心力衰竭发生的强力独立预测因子,更好地理解其发病机制将有利于心衰药物的合理开发。近年来,越来越多的证据表明miRNA在心肌肥厚中发挥重要作用。作为最早的被确定的与心肌肥厚相关的miRNAs之一,miR-195在肥厚小鼠心肌以及心力衰竭患者心肌中均显著升高,同时,研究表明循环中的miR-195-3p可以作为心力衰竭的潜在标记物,另外,采用转基因鼠提示过表达Pre-miR-195可以导致心肌肥厚进而出现心力衰竭,敲除miR-195小鼠可以减轻糖尿病诱导的心肌肥厚及冠状动脉功能障碍,提示miR-195可能是调控心肌肥厚的重要潜在靶点,然而成熟的miR-195-3p及miR-195-5p对于心肌肥厚单独的作用目前仍未阐明,本研究拟要阐明以上成熟互补单链miRNA在心肌肥大中的作用。
本课题组首先应用Ang II 诱导建立在体及离体心肌肥厚/肥大模型,检测其中miR-195-3p/5p的表达量,采用形态学、肥大标志物检测等结果提示Ang II(10-7mol/L)成功建立心肌细胞肥大模型。采用形态学、心脏超声等、组织学检测等结果提示Ang II(1.4mg/kg.day,14day)持续输注成功建立小鼠心肌肥厚模型。在以上模型中,miR-195-5p表达增加,miR-195-3p未见差异表达(图1)。
课题组继续选取H9c2细胞,过表达及敲低miR-195-3p/5p,观察不同组别对心肌肥大的作用,结果显示过表达miR-195-5p 加剧 Ang II诱导的心肌肥大效应,敲低miR-195-5p 明显拮抗其效应。miR-195-3p对AngII的上述作用无显著影响。(图2)。
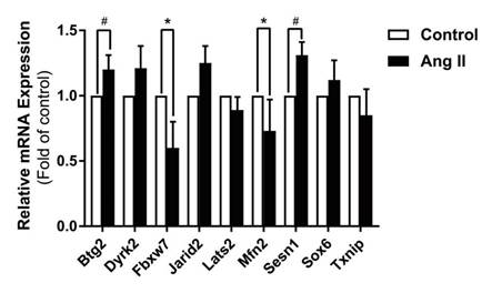
进而利用Targetscan数据库对miR-195-5p的靶基因进行预测,并在肥大细胞中进行初步筛选,qPCR结果表明FBXW7和MFN2在AngII诱导的细胞模型中显着下调(图3),因此这两个基因被选为潜在靶基因。
最后我们采用过表达/敲低miR-195-5p ,检测靶基因的表达量,同时利用双荧光素酶报告检测明确miR-195-5p与靶基因是否可直接结合,结果提示进一步我们得到FBXW7、MFN2是miR-195-5p可直接结合并作用的靶基因(图4)。
万象城allwincity官网第一临床医学院王磊博士为该论文的第一作者,韩清华教授为通讯作者。这项研究得到了山西省自然科学基金(No.201601D011111)、山西省卫生和计划生育委员研究基金(No.2017038)和山西省科学技术成果转化指南专项计划(编号2016010403100001)的经费资助。

图1 肥厚的心肌和心肌细胞miR-195-3p/5p表达

图2 miR-195-3p/5p对AngII诱导的H9c2细胞肥大的影响

图3 miR-195-5p可能靶基因的表达水平检测

图4 miR-195-5p可直接结合并调控MFN2和FBXW7的表达。