医学影像学院张辉课题组建立了无创预测高级别前列腺癌中周围神经侵犯状态这一肿瘤侵袭性的双参数磁共振影像组学模型
前列腺癌(Prostate cancer, PCa)是世界上105个国家中最常见的恶性肿瘤,位居男性癌症发病率第二位,在亚洲许多国家中发病率和病死率都在上升。周围神经侵犯(Perineural invasion,PNI)是癌细胞在肿瘤微环境中包围并侵入周围神经的一种组织学结构,对于前列腺癌特别是病理高级别前列腺癌,PNI阳性具有更高的包膜外侵犯发生率,是较差生存结局的独立相关因素,但目前如何利用无创的方法精准发现PCa内PNI现象尚缺乏有效手段,相关研究处于空白。近年来基于MRI(magnetic resonance imaging)的影像组学技术可以挖掘肿瘤图像背后蕴藏的信息,其不仅能帮助检出前列腺癌,还能对包括病理评分在内的代表侵袭性的因素做出预测,对于指导临床医生诊断并制定临床决策起到至关重要的作用。
2022年12月,万象城allwincity官网医学影像学院张辉教授团队在Cancers期刊(IF:6.575)发表了“Predicting Tumor Perineural Invasion Status in High-Grade Prostate Cancer Based on a Clinical-Radiomics Model Incorporating T2-Weighted and Diffusion-Weighted Magnetic Resonance Images ”的研究论文。在本项研究中,研究人员利用影像组学的方法对高级别前列腺癌患者的MRI图像进行了特征提取,经过降维分析提取了最具特征的影像组学特征,建立了预测模型(Fig1、2)。

Fig 1: The lasso plots for radiomics feature selection, (a) and (b) for T2WI, (c) and (d) for DWI and (e) and (f) for T2WI+DWI sequences.

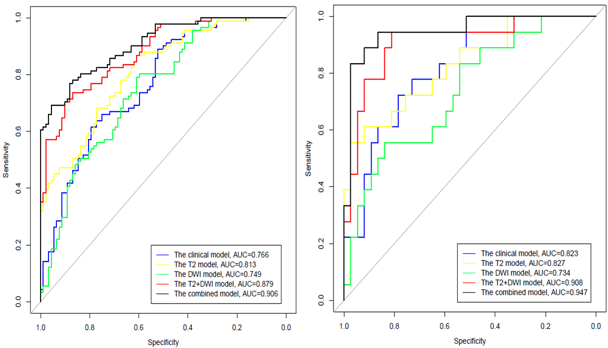
Fig2:The AUCs of different models in the training and test respectively
周围神经侵犯的分类采用SVM分类器进行分类,然后绘制各组的ROC曲线。影像特征结合临床特征模型显示出良好的预测精准度,在训练集上获得了0.906的平均AUC性能,在测试数据集上AUC达到0.947,表明基于双参数MRI的影像组学模型在评估高级别前列腺癌中周围神经侵犯状态具有较强的效能。基于双参数MRI影像组学模型能够帮助临床医师术前评估肿瘤侵袭性,做出对应临床决策(Fig3)。

Fig3. Decision curve analysis
2019级博士研究生万象城allwincity官网第一医院泌尿外科副主任医师张伟为本文第一作者,万象城allwincity官网医学影像学院张辉教授、杨国强教授为本文共同通讯作者。