第五临床医学院李荣山课题组进行糖尿病肾病易感基因筛查及与肠道菌群关系的研究
糖尿病肾病(DN)做为糖尿病的一种主要微血管并发症,发病率逐年升高,严重影响了我国人民的健康水平和社会经济的发展,但目前对其潜在分子致病机制的认识有限。人体胃肠道中有约100万亿种不同的微生物,DN患者中肠道微生物的变化以及微生物与宿主遗传学之间的关系目前仍不清楚。因而,本研究采用全基因组关联研究的方法,从遗传学角度探讨DN的易感基因,研究DN肠道菌群失衡模式以及遗传变异对肠道菌群的影响,有利于深入探讨DN的发病机制,构建风险预测模型,进行精准诊断和治疗。
我们纳入了经肾穿刺活检证实的糖尿病肾病患者及糖尿病病程10年以上而无微血管病变的糖尿病患者进行GWAS研究(图1),并在新的队列中对结果进行了验证,通过两阶段的GWAS研究确定了新的DN易感位点。此外,在我们的研究队列中对先前报道的与DN有关的SNP位点进行了检验。


图1曼哈顿图和分位数-分位数(Q-Q)图
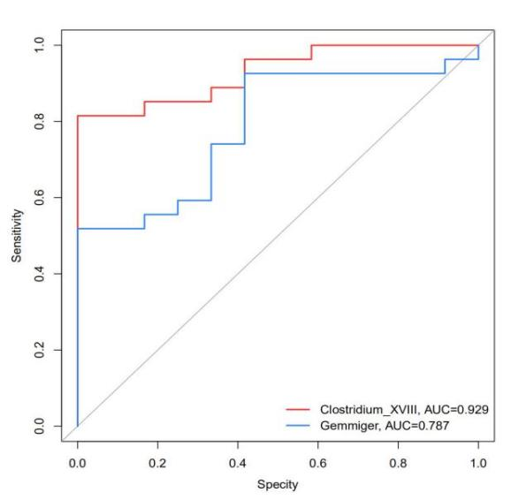
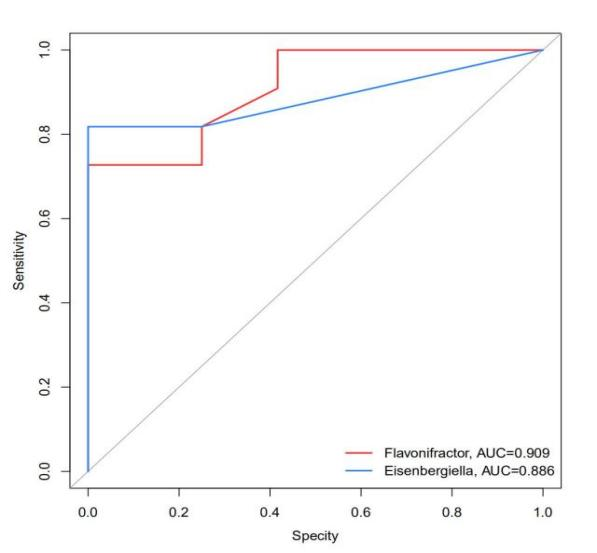
此外,我们从微生物学的角度,通过对糖尿病肾病肠道菌群失衡模式分析,找出糖尿病肾病的关键菌群,建立分类算法模型,通过肠道菌群将糖尿病肾病患者与糖尿病患者及健康人群准确区分(图2),并进一步探讨肠道菌群与临床表型及病理指标的相关性。



图2三组肠道菌群分类模型
肠道菌群与多种肾脏疾病密切相关,由于微生物组成是可遗传的,我们假设控制肠道微生物组成的遗传变异与DN易感性或临床表型相关。从全基因组关联研究数据库中检索与肠道微生物相关的遗传变异,并在我们DN易感基因筛查的队列中进行检验,利用微生物数量性状基因座注释,找到可能存在遗传关联的候选微生物,最后我们使用16S rDNA基因测序对候选微生物进行验证。
该工作是在万象城allwincity官网第五临床医学院李荣山教授的指导下完成的,第一作者为博士生路晓,该工作得到山西省肾脏病重点实验室人员及136兴医工程重点科室山西省人民医院肾内科的众多医护人员的支持。