首页 -> 正文

学术动态

中字号

优秀硕士学术成果系列展示(2023-03)

发布时间 :2023年06月01日 编辑 : 浏览量 :

公共卫生学院吴贝可在《营养展示关于估计脑卒中患者24小时尿钠、钾排泄量模型研究

2022年10月2日,万象城allwincity官网公共卫生学院硕士研究生吴贝可在《营养》(Nutrients)上发表题为"A Method for Estimating 24 h Urinary Sodium and Potassium Excretion by Spot Urine Specimen in Stroke Patients"的论文,展示关于脑卒中患者24小时尿钠、钾排泄量估计模型研究的最新成果。万象城allwincity官网吴贝可、长治医学院杨红梅为该成果共同一作,通讯作者为长治医学院李志芳。





undefined


脑卒中又称中风,是由于脑血管破裂出血或血栓形成而引起的一组疾病,是世界第二大致死原因和第三大致残原因。我国脑卒中患病和死亡风险高,负担重,是严重威胁我国居民生命健康和生活质量的重大公共卫生问题。大量研究表明,脑卒中的发病风险与高钠、低钾摄入有关。改善膳食钠、钾摄入的前提是准确检测膳食钠、钾的摄入量。因此,探索评估钠、钾摄入量的准确方法对评估脑卒中风险、科学管理脑卒中及相关临床疾病具有重要作用。

24小时尿钠、尿钾测量是评价人群食盐摄入量最客观的常用方法,而24小时尿样采集容易发生漏尿或者收集的尿液样本不合格(例如遗漏晨尿、尿量少于正常水平、尿污染)等风险,最终造成尿液的检测结果不准确

该研究依托大规模整群随机对照试验“低钠盐与脑卒中关系:一个整群随机对照试验研究(SSaSS)”项目,收集山西现场5年的随机时点尿和24小时尿标本。旨在开发一种使用随机时点尿样本估计脑卒中患者的24小时尿钠和尿钾排泄量新模型,同时验证比较新模型与已开发的3种常用公式(Kawasaki公式、INTERSALT公式、Tanaka公式)估算24小时尿钠和尿钾排泄量的准确性。为更准确估计我国脑卒中患者每日钠、钾摄入量及临床诊断治疗和科学管理提供新见解

研究使用逐步法,分别为脑卒中男性患者和女性患者构建24 小时尿钠、尿钾排泄量新模型;采用估计值与实测值之间的平均偏差、皮尔逊相关系数和组内相关系数(ICC)、P30(估计值与测得的钠排泄量相差30%以内的比例)和Bland–Altman法比较新模型与已开发公式估算24小时尿钠和尿钾排泄量的相关性和一致性。

研究结果显示,与24小时尿钠、钾排泄量实测值相比,新模型的平均偏差最低(24小时尿钠:5.17 mmol/天,24小时尿钾:0.85 mmol/天),差异无统计学意义(P > 0.05),P30的估计比例最高(24小时尿钠:59.43%;24小时尿钾:70.11%),相关系数和ICC指数最大,分别为0.45、0.71和0.35、0.69。

24 小时尿钠估算的Bland–Altman图显示,Bland–Altman 图的大部分个体估计值分布在±1.96倍标准差的区间内,区间范围更窄,效果相对较好。此外,新模型的线性趋势更明显表明在膳食钠摄入多的人群中,更容易出现低估趋势。总的来说,新模型用于估计人群水平的24小时尿钠排泄水平准确性更好,个体排泄量的估计需要进一步的探究。





undefined

1. 24小时尿钠排泄实测值和不同公式估算的估计值比较的Bland–Altman图


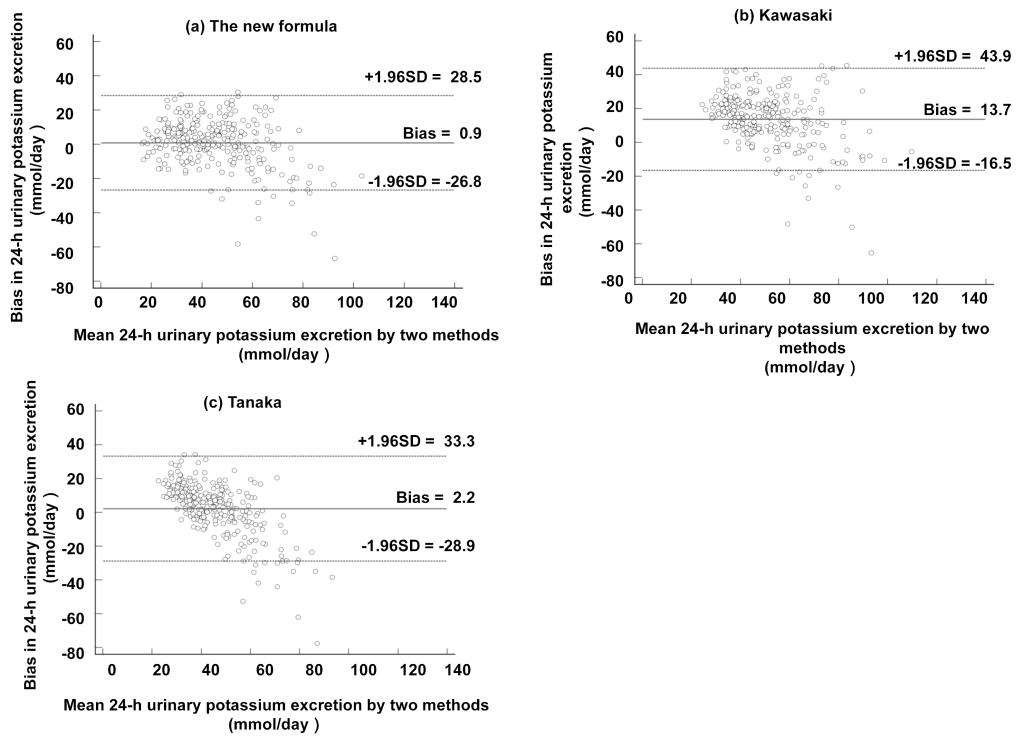
24小时尿钾估算的Bland–Altman图显示:3种验证公式估算的24小时尿钾排出量与实测值散在分布在均线附近,提示:估计值与实测值的一致性较好。各估计值虽然散在分布,但相较新模型的估计结果,Kawasaki公式和Tanaka公式的±1.96倍标准差的区间更大。这意味着,Kawasaki公式和Tanaka公式估计偏差的离散程度更大,估计的准确性更低。





undefined


2. 24小时尿钾排泄实测值和不同公式估算的估计值比较的Bland–Altman图


本研究在脑卒中病人中构建估计24小时尿钠、尿钾的新模型,该模型具有方便、经济、受试者接受度高等优点,更适宜中国心脑血管高危人群。期待新模型可以有效解决24小时尿样采集的困难,提供快速便捷的每日膳食钠、钾摄入估算方法,节约临床检测成本,提高临床诊断治疗和脑卒中患者规范化管理的效率。



版权所有@万象城allwincity官网研究生学院 技术支持:万象城allwincity官网网络中心