基于TCGA数据库的WT1突变儿童正常核型急性髓系白血病的临床特点及预后分析
2020年2月4日万象城allwincity官网第二医院血液病研究所王宏伟教授研究团队在Hematology杂志发表了题为“Clinical features and prognosis of normal karyotype acute myeloid leukemia pediatric patients with WT1 mutations: an analysis based on TCGA database”的文章,探讨了WT1基因突变儿童核型正常急性髓系白血病(NK-AML)患者的临床特征及预后,为该类患者的预后判断提供指导。
急性髓系白血病(AML)是由造血祖细胞积累的获得性体细胞遗传性病变引起的一组异质性疾病。WT1基因位于染色体11p13上,编码一种锌指蛋白。它在泌尿生殖系统和造血系统的发育中发挥重要作用,可作为肿瘤抑制基因和致癌基因。WT1突变发生在10%-20%的NK-AML患者中,移码突变产生的截短蛋白可诱导干细胞增殖、阻断其分化从而促进白血病的发生。目前为止,WT1基因突变在AML患者中的预后价值仍存在争议。本研究利用TCGA数据库target-AML项目(CCG-2961、CCG-2961、CCG-2961),比较了WT1突变和WT1野生型NK-AML儿童患者的基线数据、治疗反应和生存时间,以评估其预后意义。
该研究发现WT1基因主要在M4亚型和标准风险组中发生突变,此结论之前没有被报道过。此外,WT1突变与I类突变FLT3-ITD之间存在大量重叠,与NPM1突变呈负相关,推测WT1突变在白血病的发病机制中起II类突变的作用。


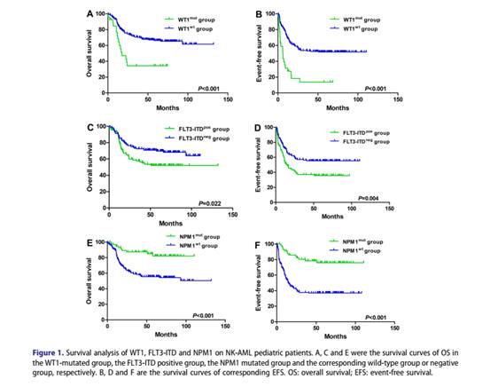
与无WT1突变的患者相比,WT1突变的患者对诱导化疗的反应较差,预示着较低的CR率、较差的OS和EFS。在单因素和多因素分析中,WT1突变是核型正常AML儿童患者的独立不良预后因素。另外,研究也证实了FLT3-ITD突变是NK-AML儿童患者预后差的分子标记,NPM1突变是NK-AML儿童患者的良好分子标记。



FLT3-ITD或NPM1突变的NK-AML儿童患者的预后仍有很大差异。为了进一步深入了解风险分层,该研究根据突变情况进一步进行分层分析,结果表明对于FLT3-ITD阳性的儿童NK-AML患者,WT1突变预示着更差的生存。总的来说,WT1基因可能可以作为NK-AML儿童患者危险分层的附加分子标记。


本文的第一作者为许晶(万象城allwincity官网第二临床医学院博士生)、张耀方(万象城allwincity官网第二医院血液科实验室主治医师)、胡晋君(万象城allwincity官网第二临床医学院研究生)和任颜(万象城allwincity官网第二临床医学院博士生)。王宏伟教授为本文的通信作者。