首页 >> 科学研究 >> 科研动态 >> 正文

我院李冰教授团队发文:基于黑枸杞合成的Mg2+掺杂碳点在细胞成像和促进成骨分化中具有显著作用

发布日期:2022/10/22
  丨  
点击次数:

10月16日,我院李冰教授团队在国际新材料杂志Colloids and Surfaces A: Physicochemical and Engineering Aspects(IF:5.518,中科院二区)在线发表了题为“Mg2+-doped carbon dots synthesized based on Lycium ruthenicum in cell imaging and promoting osteogenic differentiation in vitro”的研究论文。

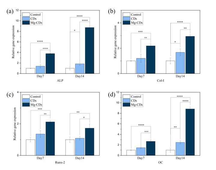
李冰教授团队以黑枸杞作为碳源,掺杂不同含量的MgCl2经一步热解法合成新型荧光CDs(Mg-CDs)生物材料。通过分析掺杂不同含量的Mg2+的Mg-CDs材料的紫外吸收峰、表面组成元素和表面官能团等,确定了碳源和MgCl2最佳重量比为1:4,并表征了材料的形貌、晶体结构和荧光性质。在体外实验中,将Mg-CDs与小鼠胚胎成骨细胞前体细胞(MC3T3-e1)共培养,评估其成骨促进能力,并且确定了促进成骨细胞分化的最佳剂量。此外,团队还评估了Mg-CDs的体外细胞毒性,以确保其植入体内后对细胞、组织长期无毒。

该项研究为Mg掺杂生物碳点在体外骨再生的应用提供了理论基础,并为成骨纳米材料的应用提供了新的选择。

口腔医学院2020级硕士研究生侯钰熙为论文第一作者,李冰教授、武秀萍教授为共同通讯作者。该项目得到山西省研究生教育创新计划项目、山西省重点研发计划和山西省回国留学人员科研项目的支持。

原文链接:https://doi.org/10.1016/j.colsurfa.2022.130264

图文:侯钰熙、吉丽丽

编辑:信息中心

医院新闻
查看更多
    友情链接
    地址:山西省太原市新建南路63号    邮编:030001
    咨询热线:0351-4690868    4690604
    口腔修复科0351-4690377    口腔种植科0351-4690227    口腔正畸科0351-4690306    口腔颌面外科0351-4690307
    口腔牙周科0351-4690811    牙体牙髓一科0351-4690305    牙体牙髓二科0351-4690355    口腔儿口预防科0351-4120096
    口腔黏膜科0351-4690860    口腔干部保健科0351-4239010    双西院区0351-7337066